0000-00
Der Artikel stammt aus "Isolationsmaterialien"

Biaxial orientierte Polypropylen (BOPP)-Kondensatorfolie dient als Kern-Dielektrikum in metallisierten Dünnschichtkondensatoren, wobei die Oberflächeneigenschaften direkt die Zuverlässigkeit und Lebensdauer der Kondensatoren bestimmen. Als kritischer Nachbearbeitungsschritt für BOPP-Kondensatorfolien verbessert die Koronabehandlung die Oberflächenleistung signifikant, doch ihre umfassenden Auswirkungen auf die Folienstruktur und elektrischen Eigenschaften bleiben unklar. In ihrer Studie "Die Auswirkung der Koronabehandlung auf die Struktur und Leistung von biaxial orientierten Polypropylen-Kondensatorfolien", veröffentlicht in der 10. Ausgabe 2025 von *Isolierstoffe*, führten Wang Jinqing et al. von der Quanzhou Jiadeli Electronic Materials Co., Ltd. systematische Experimente durch, um die Mechanismen zu erläutern, durch welche die Koronabehandlungsintensität die physikalische Struktur, chemische Struktur, Oberflächenenergie und elektrischen Eigenschaften von BOPP-Kondensatorfolien beeinflusst.
Forschungshintergrund und -ziele
BOPP-Kondensatorfolien werden aufgrund ihrer hohen elektrischen Festigkeit (>500 V/μm) und hervorragenden Selbstheilungseigenschaften weit verbreitet in Elektrofahrzeugen und intelligenten Stromnetzen eingesetzt. Allerdings führen die unpolaren Molekülketten von Polypropylen zu niedriger Oberflächenenergie und schlechter Haftung von Metallbeschichtungen. Die Koronabehandlung, die polare Gruppen durch Plasma-Bombardement auf die Folienoberfläche einbringt, ist eine gängige Technik zur Erhöhung der Oberflächenenergie. Diese Studie analysiert systematisch die Auswirkungen der Koronabehandlungsintensität (0 W, 15 W, 30 W min/m²) auf die Mikrostruktur und makroskopischen Eigenschaften von BOPP-Kondensatorfolien und liefert eine Grundlage für die Prozessoptimierung von Hochleistungskondensatorfolien.

Abbildung 1 Schematische Darstellung des Folien-Koronabehandlungsprozesses
Versuchsdesign und Methoden
Diese Studie untersucht die Herstellung von 2,4 μm dicken BOPP-Ultradünnfolien auf industriellen biaxial orientierten Produktionslinien, mit festen Streckprozessparametern und nur angepasster Koronaintensität:
Probengruppierung: 0 W (keine Korona), 15 W, 30 W Koronabehandlung.
Darstellung:
▪Kristallstruktur:Differenzkalorimetrie (DSC) wurde verwendet, um die Schmelzkurve und Kristallinität zu analysieren.
▪Oberflächenmorphologie:Die Oberflächenrauheit (Ra, Rz, Sz) wurde mit einem 3D-Oberflächenprofilometer gemessen.
▪Chemische Struktur: Fourier-Transform-Infrarotspektroskopie (FTIR) wurde verwendet, um polare Gruppen zu detektieren.
▪Leistungstest: Oberflächenbenetzungsspannung, mechanische Eigenschaften, Dielektrikumspektrum, Gleichstrom-Elektrofestigkeit (Weibull-Verteilungsanpassung).

Einzelstützen-Formmaschine


Diese Ausrüstung wird zum Fasen von Stützstangen für Transformatoren verwendet. Sie kann T-förmige, schwalbenschwanzförmige, trapezförmige, rechteckige und andere Kombinationen von Formen für die Herstellung von Stützstangen bearbeiten.
Auswirkung der Koronabehandlung auf die Dünnfilmstruktur
1. Physikalische Struktur:Veränderung der Oberflächenmorphologie, stabile Kristallstruktur
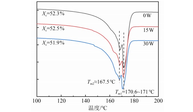
(1) Konsistenz der Kristallstruktur:DSC-Ergebnisse zeigen, dass die Kristallinität der drei Folien etwa 52% beträgt und die Schmelzpeakposition (Tm1≈170.6 C, Tm2≈167.5 C) keine signifikante Veränderung aufweist, was darauf hinweist, dass die Koronabehandlung die Kristallstruktur der Folien nicht verändert.
(2) Reduzierung der Oberflächenrauheit: Die Koronabehandlung bewirkt eine physikalische Bombardierung auf der Koronarezeptoroberfläche (CR-Oberfläche) der Folie, was zu einer Abnahme der Oberflächenmikrostrukturhöhe führt. Beispielsweise verringerte sich die Zehnpunkt-Höhe (Sz) der 30 W koronabehandelten Folie von 860.8 nm bei 0 W auf 709.6 nm (eine Reduktion von 17.6%), während die arithmetische mittlere Höhe (Rz) um 11.4% abnahm. Im Gegensatz dazu zeigte die Rauheit der Luftmesseroberfläche (AK-Oberfläche) keine signifikante Veränderung, was die lokalisierte Wirkung der Koronabehandlung hervorhebt.

Abbildung 2 DSC-Schmelzkurven von Folien mit unterschiedlichen Koronaintensitäten
2. Chemische Struktur: Einführung polarer Gruppen, was zu erhöhter Oberflächenenergie führt
Die FTIR-Spektren zeigten, dass die Koronabehandlung mehrere polare Bindungen auf der Folienoberfläche erzeugte.
(1) Charakteristische Peaks: Eine C-O-Bindungsstreckschwingung erscheint bei 1000~1300 cm⁻¹, ein Carbonyl (C=O)-Peak bei 1600~1800 cm⁻¹, ein Hydroxyl (-OH)-Peak bei 3200~3600 cm⁻¹ und ein kleiner Epoxidgruppen-Peak bei 940 cm⁻¹.
(2) Intensitätskorrelation: Die Zunahme der Koronaentladungsintensität führt zu einer Vergrößerung der Fläche des polaren Peaks, was darauf hinweist, dass höhere Koronaintensitäten mehr polare Gruppen mit hoher Bindungsenergie einführen und grundlegend die chemische Aktivität der Folienoberfläche verbessern können.

Abbildung 3 FTIR-Spektren von Folien mit unterschiedlichen Koronaintensitäten
Auswirkung der Koronabehandlung auf die Eigenschaften der Dünnfolie
1. Oberflächenbenetzungsspannung und Prozessleistung
(1) Deutliche Verbesserung der Benetzungsspannung:Durch Tropfentests betrug die Benetzungsspannung der 0 W, 15 W und 30 W Folien <30 mN/m, <36 mN/m bzw. <42 mN/m. Die Koronabehandlung erleichterte die Tropfenausbreitung, was eine Erhöhung der Oberflächenenergie demonstrierte.
(2) Verbesserte Wickeleffizienz: Unbehandelte Folien weisen niedrige Oberflächenenergie auf, was zu leichtem Rutschen oder sogar Beschädigungen während des Wickelns führt. Im Gegensatz dazu zeigen koronabehandelte Folien verbesserte Haftung, was zu festerem Wickeln und sicherer Produktion führt.

Abbildung 4 Vergleichstest der Oberflächenbenetzungsspannung für Folien mit unterschiedlicher Koronaintensität
(3) Mechanische Eigenschaften sind stabil:Die Koronabehandlung hat keinen offensichtlichen Einfluss auf die Zugfestigkeit, Dehnung und den Modul der Folie, was darauf hinweist, dass die Modifikation auf die Oberflächenschicht beschränkt ist.

Abbildung 5 Mechanische Eigenschaften von Folien mit unterschiedlicher Koronaintensität
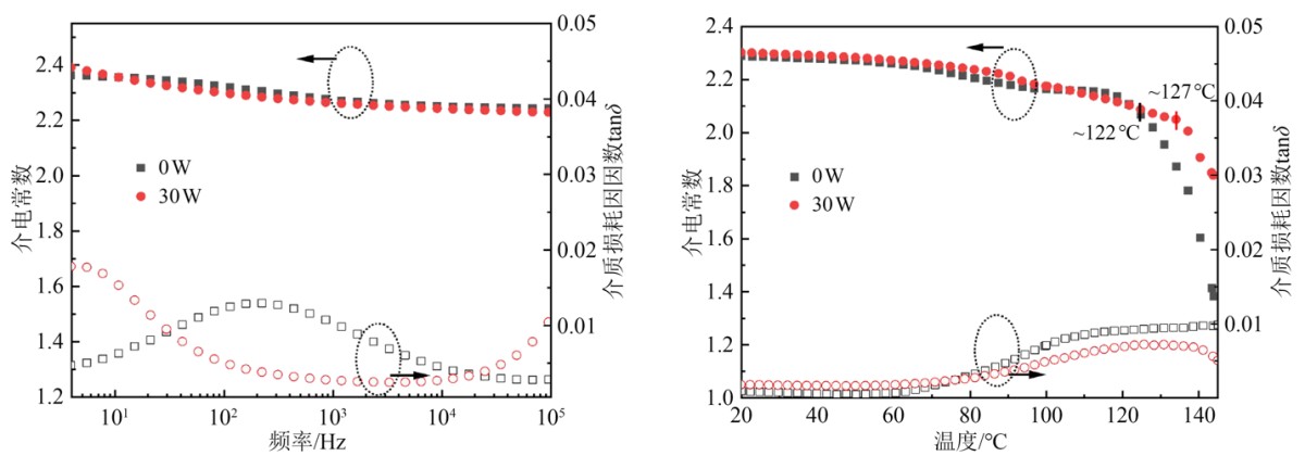
2.Dielektrische Eigenschaften: Verzögerter Hochtemperaturabfall
Die Dielektrizitätskonstante der 30 W Koronafolie ist bei Raumtemperatur stabil bei 2.2~2.4. Die Dielektrizitätskonstante der 30 W Koronafolie wird bei 120℃ und darüber langsamer abgeschwächt, und der Dielektrizitätsverlustpeak ändert sich mit Verzögerung, was darauf hinweist, dass die polaren Gruppen die dielektrische Stabilität der 30 W Koronafolie bei hohen Temperaturen verbessern.

Abbildung 6 (a) Frequenzabhängige Dielektrikumspektren und (b) temperaturabhängige Dielektrikumspektren von unbehandelten und 30 W koronabehandelten Folien bei Raumtemperatur
(1) Geringe Variation der elektrischen Festigkeit bei Raumtemperatur: Der Weibull-Verteilungsparameter α (charakteristische elektrische Festigkeit) der drei Folien schwankt innerhalb von ±5 V/μm.
(2) Schwache Verbesserung der Hochtemperaturleistung: Bei 100℃ ist die elektrische Festigkeit der 30 W koronabehandelten Folie etwa 17 V/μm höher als die der unbehandelten Folie, was auf die durch polare Gruppen eingeführten tiefen Energieniveaus für Ladungsfang zurückzuführen ist.
(3) Verringerte Stabilität: Die Koronabehandlung reduzierte den Weibull-Parameter β (Dispersion) von 7.96 (0 W) auf 4.43 (30 W), was auf eine stärker verteilte elektrische Festigkeitsverteilung hinweist. Analysen deuten darauf hin, dass eine kleine Anzahl starker Fallen zu einer ungleichmäßigen elektrischen Feldverteilung führt, was Feldverzerrungen induziert.

Abbildung 7 Weibull-Verteilungsanpassung der elektrischen Festigkeit: (a) bei Raumtemperatur, (b) bei 100°C
Forschungsfazit und technische Bedeutung
(1) Strukturelle Effekte: Koronabehandlung verändert nicht die Kristallstruktur, verringert aber die physikalische Höhe der Koronaoberfläche; sie modifiziert die chemische Struktur signifikant durch Einführung polarer Bindungen wie C-O und C=O.
(2) Leistungsbalance:
▪Vorteile:Erhöht die Benetzungsspannung (sichert Metallisierungshaftung und Wickelsicherheit) und verzögert den dielektrischen Hochtemperaturabfall.
▪Risiko: Die elektrische Festigkeitsdispersion erhöht sich, was die Langzeitstabilität beeinflusst.
(3) Prozessempfehlungen: Die Koronaintensität sollte optimiert werden, um die Oberflächenenergieverbesserung mit der elektrischen Stabilität auszugleichen und Überbehandlung zu vermeiden.
Diese Studie liefert kritische Datenunterstützung zur Verbesserung der Leistung von BOPP-Kondensatorfolien und ebnet den Weg für zukünftige Untersuchungen von Synergieeffekten zwischen Koronabehandlung und anderen Modifikationstechniken.
Gao Mi Hong Xiang Electromechanical Technology Co., Ltd. ist ein privates Unternehmen, das sich auf globale Kundendienstleistungen spezialisiert hat. Das Unternehmen bietet drei Kernproduktlinien an: Herstellung von Leistungstransformatorbaugruppen, elektrische Isolationspappe, isoliertes Schichtholz und Verarbeitung von Isolationskomponenten sowie EVA-Formdienstleistungen. Es unterstützt auch KI-gestützte Spezialmaschinenfertigung. Als umfassender Anbieter integriert es F&E-Design, Produktion, Vertrieb, Installation, Schulung und After-Sales-Services. Seine Produkte werden weit verbreitet im Inland verkauft und nach Südostasien, Südamerika, Indien, Pakistan, Russland und andere Regionen exportiert.

NAVIGATION
NACHRICHT
Angebot anfordern?