0000-00
Ausgewählt aus "Isoliermaterialien"

Forschungshintergrund und Innovationen
Die rasche Entwicklung der Branche für Elektrofahrzeuge hat höhere Anforderungen an Isoliermaterialien in Antriebsmotoren gestellt, die eine stabile Leistung unter Hochtemperatur- und Hochlastbedingungen erfordern. Polyimid (PI), das als das hitzebeständigste Isolierlackmaterial anerkannt ist, wird aufgrund seiner hervorragenden Eigenschaften weit verbreitet eingesetzt. Der Vorläufer Polyamidsäurelösung in herkömmlichen PI-Isolierlacken weist jedoch bei niedrigem Feststoffgehalt immer noch eine hohe Viskosität auf, was eine gleichmäßige Mehrschichtbeschichtung behindert. Unser Team hat innovativ eine Strategie mit "latenten" Zwischenprodukten vorgeschlagen: Durch die Neutralisationsreaktion von Buttersäure und aromatischen Aminen wird ein Carbonsäureamin-Salz-Endhärtungsmittel hergestellt, das dann in das anhydridterminierte PMDA-ODA-Oligomer eingeführt wird. Während der Hochtemperaturhärtung zersetzt sich das Zwischenprodukt und setzt Aminogruppen frei, die weiter reagieren, um hochmolekulares PI zu bilden, wodurch die Anforderungen an die Niedrigviskositätsverarbeitung und die Hochleistungslackfilme in Einklang gebracht werden.

Abbildung 1 Schematische Darstellung des PI-Isolierlack-Herstellungswegs
Kernmethode: Molekulares Design und Herstellungsprozess
Durch Anpassung der Monomerverhältnisse (ODA, APAB, BA, PMDA) wurde eine Reihe von PI-Beschichtungen (z.B. PI-P-0 bis PI-P-4) synthetisiert. Die Einführung eines "latenten" Zwischenprodukts reduzierte die Viskosität der Lacklösung signifikant – bei einem BA-Gehalt von 5% sank die Viskosität von 1712 mPa·s auf 835 mPa·s (bei 20°C), wodurch die Beschichtungseffizienz verbessert wurde.
Das Zwischenprodukt wurde bei 180~200°C zersetzt und das PI bei 300°C gebildet. Die thermische Stabilität des PI war ähnlich der von herkömmlichem PI.

Abbildung 2 Zusammenhang zwischen scheinbarer Viskosität von PI-Isolierlack und BA-Gehalt

Hongxiang-Mechanische Scheren sind unverzichtbare Geräte zur Steigerung der Effizienz und Qualität der Verarbeitung elektrischer Materialien. Sie ermöglichen präzises und effizientes Materialschneiden, um den Anforderungen der Elektroindustrie an Maßgenauigkeit und Sicherheitsleistung gerecht zu werden. Die Schnittkanten sind glatt und gratfrei, was die Isoliereigenschaften elektrischer Geräte gewährleistet. Der Stapelschnitt wird schnell abgeschlossen, was die Produktionseffizienz erheblich verbessert.
Leistungsdurchbruch: Umfassende Optimierung thermischer, mechanischer und elektrischer Eigenschaften
1. Deutliche Verbesserung der Hitzebeständigkeit
Durch Einführung des starren Monomers APAB und Erhöhung der Hitzebehandlungstemperatur überschritt die Glasübergangstemperatur (Tg) des Films 420°C. Die differentielle mechanische Analyse (DMA) zeigte, dass bei einem APAB-Gehalt von 40% die Tg 429,3°C erreichte. Nach einer Hitzebehandlung bei 450°C stieg die Tg von PI-P-1 weiter auf 430,3°C, was einer Verbesserung von 5,23% im Vergleich zur Behandlung bei 350°C entspricht. Die XPS-Analyse zeigte, dass hohe Temperaturen die Vernetzung der Molekülketten förderten und dadurch die thermische Stabilität verbesserten.

(a) Zyklisierung bei 350°C

(b) Zyklisierung bei 450°C
Abbildung 3 DMA-Kurven von hitzebeständigem PI-Film, der bei verschiedenen Temperaturen hergestellt wurde
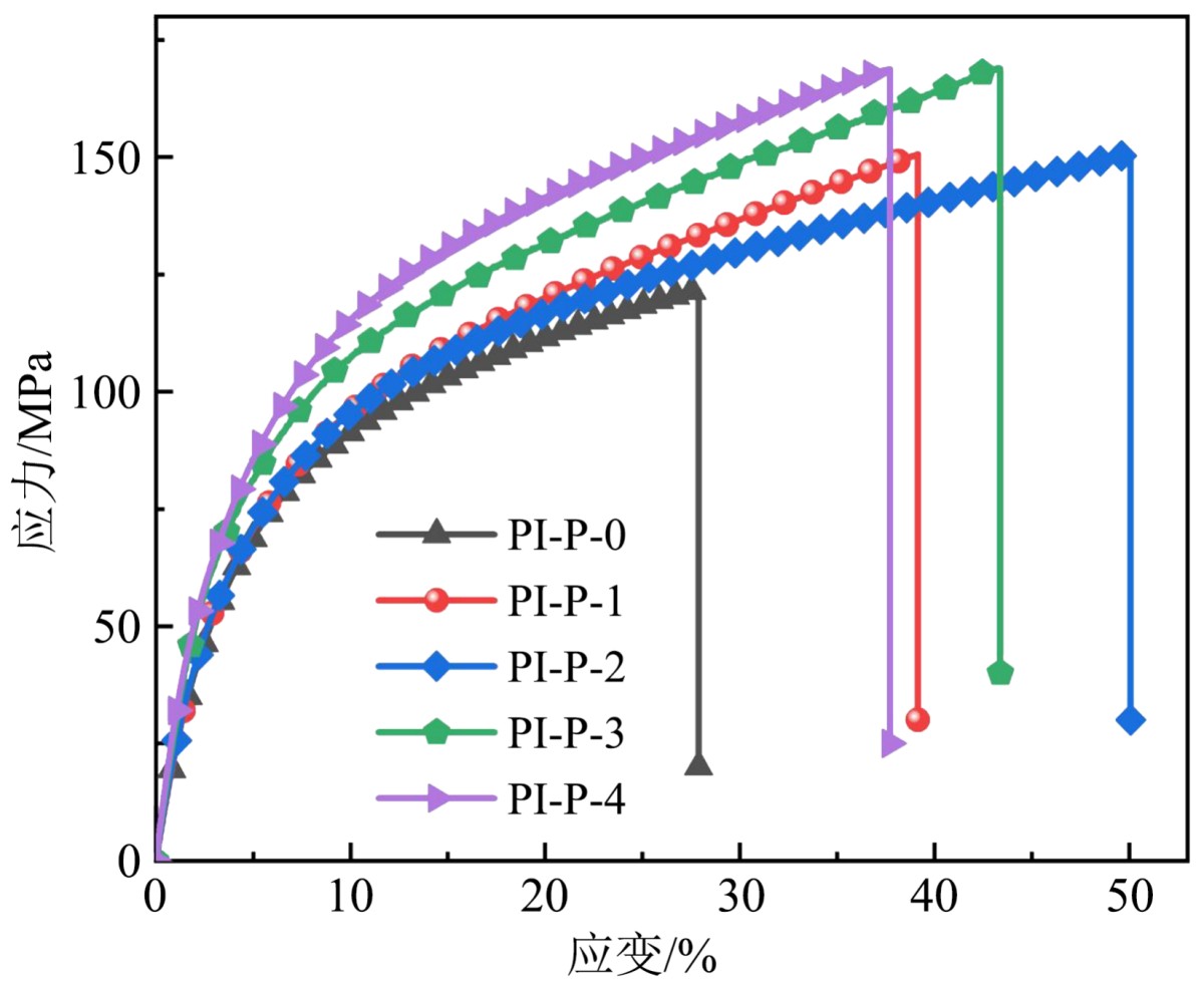
2. Hervorragende mechanische Eigenschaften:
Die Zugfestigkeit des Films liegt zwischen 147,3 und 168,5 MPa, mit einem Elastizitätsmodul von 2,5 bis 3,1 GPa. Die Einführung von APAB erhöht die Steifigkeit der Molekülketten und fördert die kompakte Packung; ein übermäßiger APAB-Gehalt (>30%) verringert jedoch die Bruchdehnung. PI-P-1 behält eine hohe Festigkeit bei und zeigt eine Bruchdehnung von etwa 50%, wodurch Zähigkeit und Steifigkeit in Einklang gebracht werden.

(a) Zugfestigkeit und Elastizitätsmodul

(b) Spannungs-Dehnungs-Kurve
Abbildung 4 Ergebnisse der mechanischen Eigenschaftstests der hitzebeständigen PI-Beschichtung
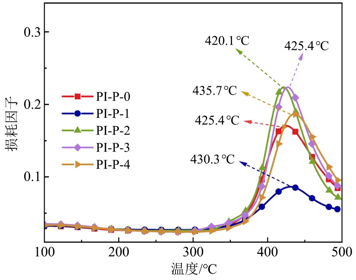
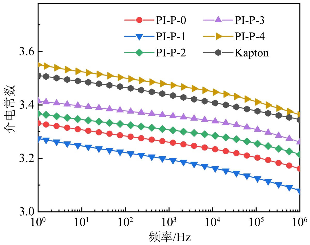
3. Die elektrischen Eigenschaften zeigen eine stabile und zuverlässige Leistung:
Bei Raumtemperatur liegt die Dielektrizitätskonstante unter 3,48 (1 kHz), mit einem Dielektrizitätsverlustfaktor von weniger als 0,019. Bei Temperaturvariationstests zeigt der PI-P-1-Film eine optimale dielektrische Temperaturstabilität bei 450°C, mit unterdrückten sekundären Relaxationsphänomenen. Die elektrische Festigkeit liegt zwischen 304,3 und 356,5 kV/mm, wobei PI-P-2 den höchsten Wert (356,5 kV/mm) erreicht, was auf die erhöhte Packungsdichte der Molekülketten zurückzuführen ist.

(a) Dielektrizitätskonstante

(b) Dielektrizitätsverlustfaktor

(c) Temperaturabhängige dielektrische Kurve

(d) Elektrische Festigkeit
Abbildung 5 Ergebnisse der elektrischen Leistungstests der hitzebeständigen PI-Beschichtung
Molekulare Simulation enthüllt den Mechanismus
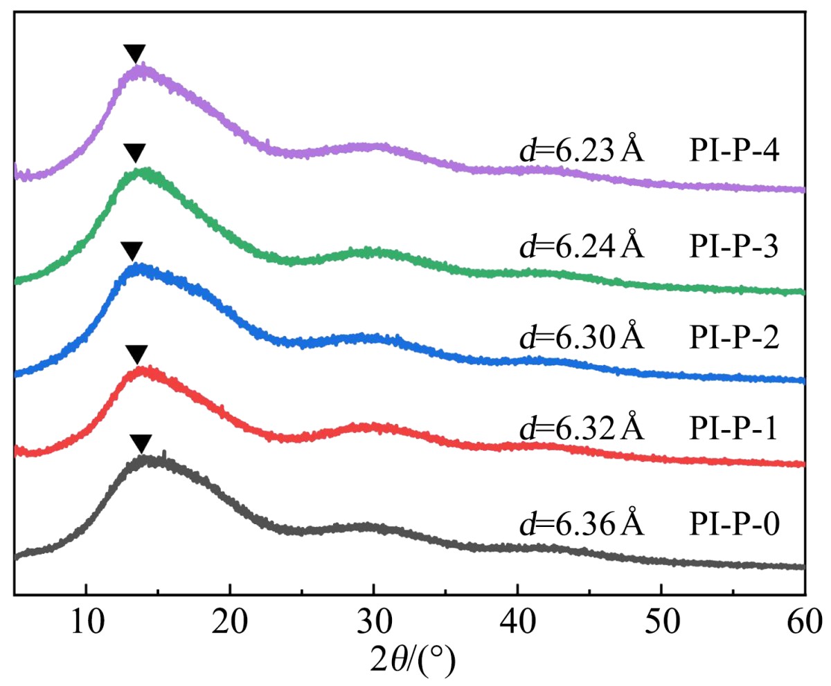
Materials Studio-Simulationen zeigen, dass APAB die Beweglichkeit der Molekülketten verringert (verringerter Diffusionskoeffizient), während XRD bestätigt, dass der Abstand zwischen den Molekülketten reduziert und die Packung dichter wird. Dies erklärt die verbesserte Hitzebeständigkeit und dielektrische Stabilität des Lackfilms.

(a) MSD-Kurve

(b) XRD-Ergebnisse
Abbildung 6 Mittlere quadratische Abweichung verschiedener PI-Strukturmodelle und XRD-Ergebnisse
Fazit
Diese Studie hat erfolgreich die Herausforderung der hohen Viskosität von PI-Isolierlack durch eine Strategie mit "latenten" Zwischenprodukten bewältigt und gleichzeitig eine synergetische Optimierung der thermischen, mechanischen und elektrischen Eigenschaften des Lackfilms erreicht. Die optimale Formulierung PI-P-1 (10% APAB-Gehalt) zeigte herausragende Gesamtleistung: Tg > 420°C, Zugfestigkeit von 147,3 MPa, Dielektrizitätskonstante <3,48 und hervorragende Verarbeitbarkeit. Dieser Erfolg bietet eine neue Materialoption für das Isolationssystem von Elektrofahrzeugmotoren, die voraussichtlich die Entwicklung von Hochleistungsmotoren vorantreiben wird.
Zukünftige Arbeiten könnten die Monomerverhältnisse weiter optimieren und industrielle Produktionsprozesse erforschen, um technologische Verbesserungen bei Isoliermaterialien zu erleichtern.
GaoMi HongXiang Electromechanical Technology Co., Ltd. ist ein privates Unternehmen, das sich auf die Betreuung globaler Kunden spezialisiert hat. Das Unternehmen bietet drei Kernproduktlinien an: Herstellung von Leistungstransformatorbaugruppen, elektrisches Isolierkarton, isolierendes Schichtholz und Verarbeitung von Isolierkomponenten, unterstützt durch KI-gesteuerte Spezialmaschinen. Als umfassender Anbieter integriert es F&E-Design, Produktion, Vertrieb, Installation, Schulung und After-Sales-Services. Seine Produkte werden im Inland weit verbreitet verkauft und in Regionen wie Südostasien, Südamerika, Indien, Pakistan, Russland und andere exportiert.

NAVIGATION
NACHRICHT
Angebot anfordern?